你知道日本向中国投降的投降书内容吗?

[复制链接]
福溪人 发表于 2010-6-16 21:10:53 | 显示全部楼层 |阅读模式
1339 10
日本呈递降书原文

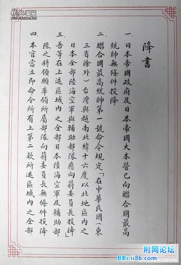
  一、日本帝国政府及日本帝国大本营已向联合国最高统帅无条件投降

  二、联合国最高统帅第一号令规定“在中华民国(东三省除外)台湾与越南北纬十六度以北地区内之日本全部陆海空军与辅助部队应向蒋委员长投降

  三、吾等在上述区域内之全部日本陆海空军及辅助部队之将领愿率领所属部队向蒋委员长无条件投降

  四、本官当立即命令所有上第二款所述区域内之全部日本海陆空军各级指挥官及其所属部队与所控制之部队向蒋委员长特派受降代表中国战区中国陆军总司令何应钦上将及何应钦上将指定之各地区受降主官投降

  五、投降之全部日本陆海空军立即停止敌对行动暂留原地待命所有武器弹药装具器材补给品情报资料地图文献档案及其他一切资产等当暂时保管所有航空器及飞行场一切设备舰艇船舶车辆码头工厂仓库及一切建筑物以及现在上第二款所述地区内日本陆海空军或其控制之部队所有或所控制之军用或民用财产亦均保持完整全部缴于蒋委员长及其代表何应钦上将所指定之部队长及政府机关代表接收

  六、上第二款所述区域内日本陆海空军所俘联合国战俘及拘留之人民立予释放并保护送至指定地点

  七、自此以后所有上第二款所述区域内之日本陆海空军当即服从蒋委员长之节制并接受蒋委员长及其代表何应钦上将所颁发之命令

  八、本官对本降书所列各款及蒋委员长与其代表何应钦上将以后对投降日军所颁发之命令当立即对各级军官及士兵转达遵照上第二款所述地区之所有日本军官佐士兵均须负有完全履行此项命令之责

  九、投降之日本陆海空军中任何人员对于本降书所列各款及蒋委员长与其代表何应钦上将嗣后所授之命令倘有未能履行或迟延情事各级负责官长及违犯命令者愿受惩罚

  奉日本帝国政府及日本帝国大本营命签字人帝国派遣军总司令官陆军大将岗村宁次

  昭和二十年(公历一九四五年)九月九日午前九时分签字于中华民国南京

  代表中华民国美利坚合众国大不列颠联合王国苏维埃社会主义共和国联邦并为对日本作战之其他联合之利益接受本降书于中华民国三十四年(公历一九四五年)九月九日午前九时分在中华民国南京

  中国战区最高统帅特级上将蒋中正特派代表中国陆军总司令陆军一级上将何应钦
全部回复(10)
......................................
1113048_1154102835781.jpg
2010-6-16 21:12:05
那毕竟是过去的了
2010-6-16 21:13:26
中国战区受降书
2006124165251771.jpg
2010-6-16 21:17:08
发表于 3 分钟前 | 只看该作者
那毕竟是过去的了



我们的历史教科书上是没有这些内容的
2010-6-16 21:17:46
我们的历史教科书是在

XX党的领导下,全国人民取得了胜利
2010-6-16 21:18:25
违法版规了,斑竹可以删贴
2010-6-16 21:19:22
没有涉及赔款。不算真正的降书
2010-6-16 21:20:52
樓主有心了。
2010-6-16 23:35:12
可是 现在说 没有 意义了
2010-6-17 00:39:13
这些多是过去的事了
2010-6-17 12:32:16
您需要登录后才可以回帖 登录 | 会员注册
快速
回复
返回
列表
返回
顶部